- Популярная математика
- Прикладная математика. Вычислительная математика
- Теория вероятностей и математическая статистика
- Геометрия
Линейная алгебра векторная алгебра аналитическая геометрия. Сборник заданий. Учебное пособие (И. Э. Гриншпон); Издательство ЛАНЬ, 2023
436
Издатель: Лань
ISBN: 978-5-507-46704-4
EAN: 9785507467044
Книги: Алгебра. Математический анализ
ID: 13425934
Добавлено: 19.08.2023
Описание
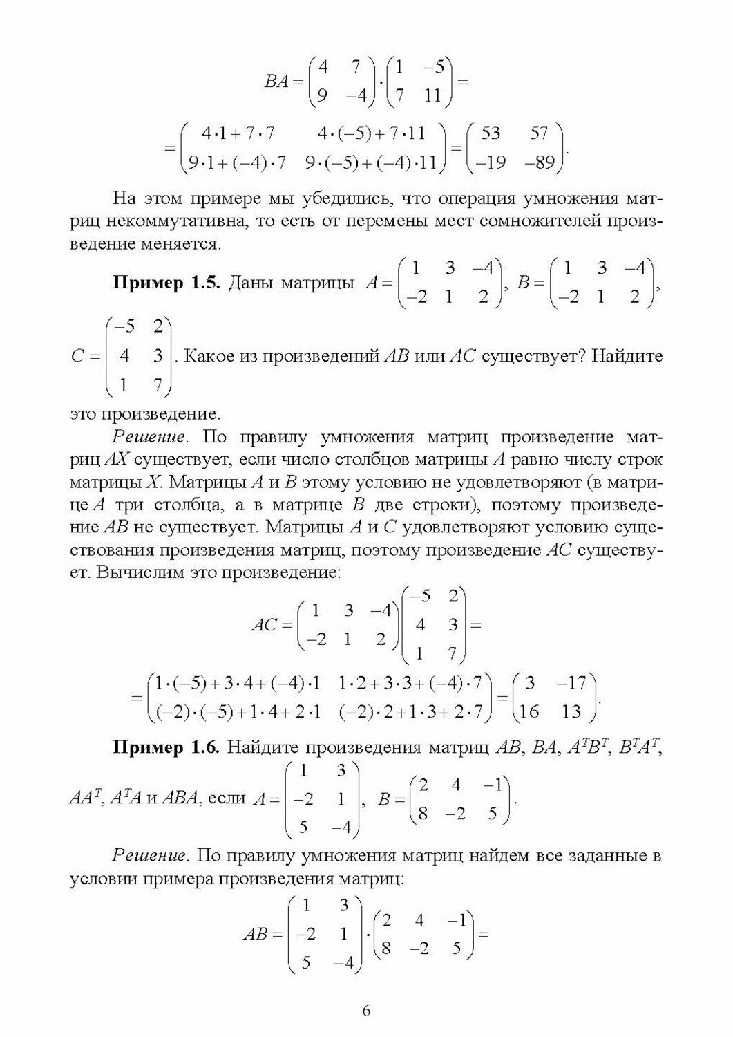
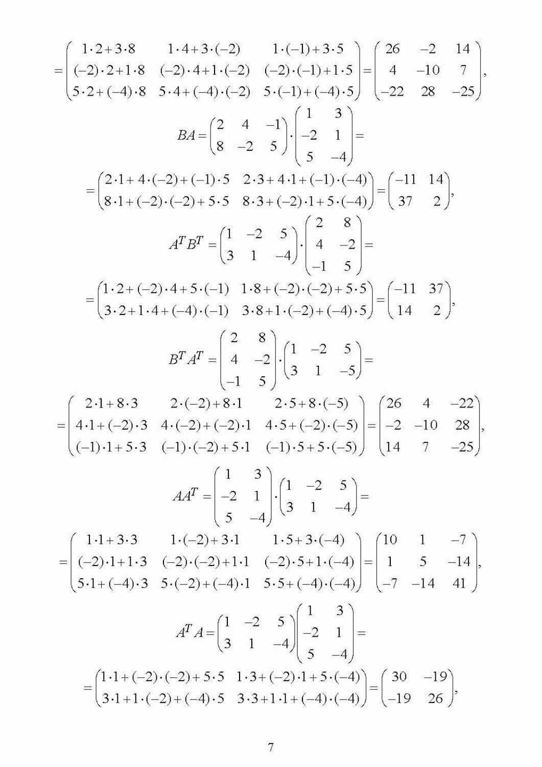
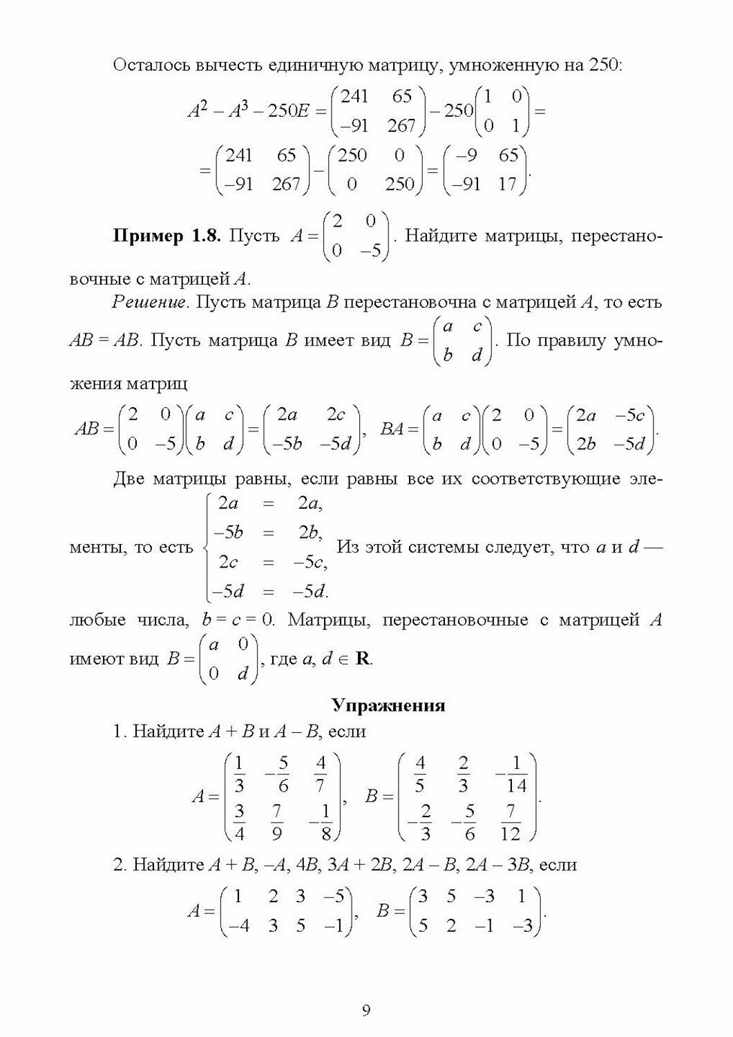
Приведен конспект лекций по разделу «Линейная алгебра», читаемых в первом семестре на первом курсе. Конспект включает в себя действия с матрицами, решение матричных уравнений, решение систем линейных уравнений матричным методом, методом Крамера и методом Гаусса; вводится понятие линейного пространства и его базиса; рассматриваются линейные операторы; для нахождения собственных чисел и собственных векторов линейного оператора приводятся сведения из теории многочленов одной переменной, в том числе, нахождение корней многочленов с целыми коэффициентами; рассматриваются квадратичные формы. Во второй части курса рассмотрены действия с векторами, введены понятия скалярного, векторного и смешанного произведения векторов и их приложения к решению геометрических и физических задач. Третья часть курса посвящена аналитической геометрии. Приведены различные уравнения прямой на плоскости, плоскости, прямой в пространстве. Рассмотрены кривые второго порядка и их приведение к каноническому виду.
Смотри также о книге.
СкидкаГИД инфо +
Сервис сравнения цен СкидкаГИД предлагает сравнить цены на товар «Книга: Линейная алгебра векторная алгебра аналитическая геометрия. Сборник заданий. Учебное пособие (И. Э. Гриншпон); Издательство ЛАНЬ, 2023»
По данным нашего сервиса товар предлагался к продаже в 5 магазинах. На сегодняшний день доступен в 1 магазине: ЛитРес. По цене от 436 р. до 436 р. В случае, если для вас на данный момент цена слишком высока, вы можете воспользоваться сервисом «Сообщить о снижении цены» - мы оповестим вас как только цена опустится до желаемого значения. Но будьте внимательны, используя сервис «История цены» можно спрогнозировать в какую сторону изменяется цена, возможно сейчас самое время для покупки.
Кроме сервиса сравнеция цен, наш сайт также позволяет экономить еще двумя способами: промокодный сервис (информация о промокодах, а также скидки и акции на товары), а также собственный кэшбэк сервис. Купить с кешбеком можно в следующих магазинах: ЛитРес. А информация о промокодах доступна рядом с ценой от магазина и постоянно обновляется.
О книге
| Параметр | Значение |
|---|---|
| ISBN | 978-5-507-46704-4 |
| Автор(ы) | И. Э. Гриншпон |
| Год издания | 2023 |
| Издатель | Издательство ЛАНЬ |
| Издательство | Издательство "Лань" |
| Кол-во страниц | 124 |
| Количество страниц | 124 |
| Обложка | мягкая обложка |
| Серия | Высшее образование (Лань) |
| Тип обложки | мягкая |
| Формат | 84*108 1/32 |
| Форматы электронной версии |
Где купить (1)
Цена от 436 руб до 436 руб в 1 магазине
Также рекомендуем ознакомиться с ценами на Яндекс.Маркет.
Похожие предложения вы можете найти в нашей подборке:
Книги: Алгебра. Математический анализ - издательство "Лань"
Книги: Алгебра. Математический анализ с ценой 348-523 р.
| Магазин | Цена | Наличие |
|---|---|---|
| ЛитРес 5/5 |
| обновлено 23.11.2025 |
| Avito 5/5 | Avito доставка позволит получить любой товар, не выходя из дома
| |
| Магазин | Последняя известная цена | Обновлено |
|---|---|---|
| Лабиринт | 1167 | 06.09.2024 |
| Яндекс.Маркет | 558 | 17.06.2024 |
| МАЙШОП | 708 | 23.06.2024 |
| Мегамаркет | 681 | 01.10.2024 |
Кэшбэк сервис СкидкаГИД
На сегодняшний день товар «Книга: Линейная алгебра векторная алгебра аналитическая геометрия. Сборник заданий. Учебное пособие (И. Э. Гриншпон); Издательство ЛАНЬ, 2023» можно купить с кешбеком в 1 магазине: ЛитРес
Кэшбэк – это возврат части денег, потраченных Вами в интернет-магазинах. Всего на нашем сайте более 500 магазинов, с многими из которых Вы наверняка уже знакомы. У каждого магазина свои условия. Кто-то возвращает процент от покупки, а кто-то фиксированную сумму.
Заказывайте он-лайн и получайте часть денег обратно, подробнее..
Книги: Алгебра. Математический анализ - издательство "Лань"
Категория 348 р. - 523 р.
Алгебра. Математический анализ - издательство "Лань" »
Книги: Алгебра. Математический анализ
Категория 348 р. - 523 р.



