- Книги для школы
- Словари и разговорники
- Дошкольное обучение
- Дополнительное образование для детей
- Коррекционная педагогика
- Иностранные языки: грамматика и учебники
- Демонстрационные материалы
- Вспомогательные материалы для студентов
- Подготовка к ОГЭ (ГИА)
- Подготовка к ЕГЭ
- Пособия для детей с ограниченными возможностями
- Педагогика
- Иностранные языки
Репетитор по математике для старшеклассников и абитуриентов (Балаян Эдуард Николаевич); Феникс, 2021
от 939 до 999
Издатель: Феникс
ISBN: 978-5-222-33550-5
EAN: 9785222335505
Книги: Математика, высшая математика
ID: 6535997
Добавлено: 18.09.2020
Описание
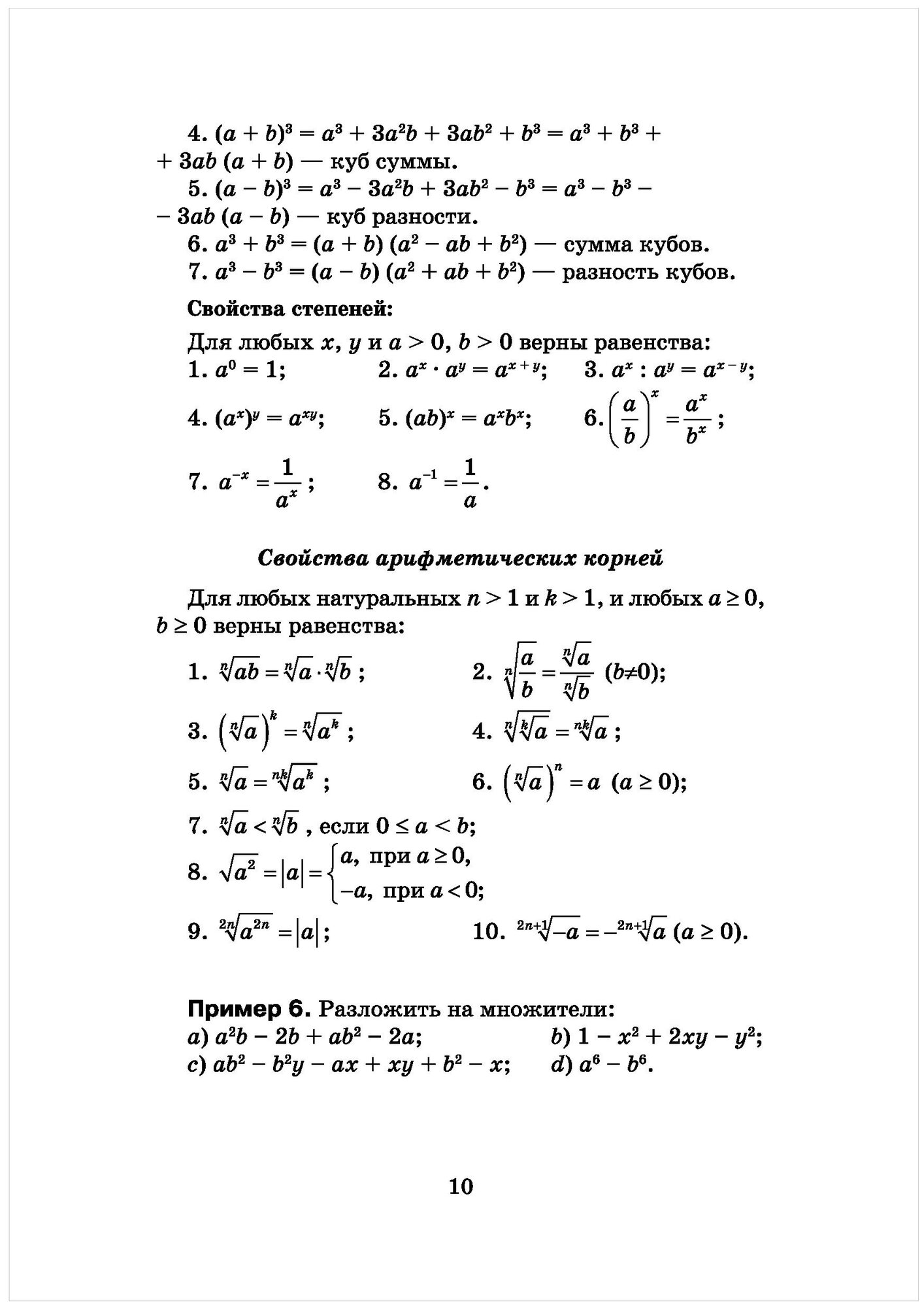
Книга написана на основе действующей программы по математике для общеобразовательных школ, гимназий, лицеев. Она содержит свыше 4600 задач, из которых 1600 даны с решениями, а остальные предназначены для самостоятельного решения.
Каждая глава сопровождается краткими теоретическими сведениями и включает достаточное количество примеров с подробными решениями.
Задачи тщательно подобраны по принципу однородности тем, типов, методов решения и разбиты на две группы по уровню сложности.
В 13-й главе приводятся нестандартные задачи к ЕГЭ с решениями и для самостоятельного решения, причем значительная часть решена различными способами, что способствует творческой активности учащихся и повышению интереса к изучению математики.
Наличие различных идей и методов решения примеров и задач позволяет эффективно подготовиться к олимпиадам различного уровня.
Репетитор предназначен школьникам и выпускникам для самостоятельной подготовки к сдаче ЕГЭ и олимпиадам, для успешной сдачи экзамена при поступлении в престижные вузы страны, а также слушателям подготовительных отделений, учителям математики, студентам педвузов и репетиторам.
Смотри также о книге.
СкидкаГИД инфо +
Сервис сравнения цен СкидкаГИД предлагает сравнить цены на товар «Книга: Репетитор по математике для старшеклассников и абитуриентов (Балаян Эдуард Николаевич); Феникс, 2021»
По данным нашего сервиса товар предлагался к продаже в 8 магазинах. На сегодняшний день доступен в 3 магазинах: Читай-город, Буквоед, book24. По цене от 939 р. до 999 р., средняя цена составляет 979 р., а самая низкая цена в магазине Читай-город. В случае, если для вас на данный момент цена слишком высока, вы можете воспользоваться сервисом «Сообщить о снижении цены» - мы оповестим вас как только цена опустится до желаемого значения. Но будьте внимательны, используя сервис «История цены» можно спрогнозировать в какую сторону изменяется цена, возможно сейчас самое время для покупки.
Кроме сервиса сравнеция цен, наш сайт также позволяет экономить еще двумя способами: промокодный сервис (информация о промокодах, а также скидки и акции на товары), а также собственный кэшбэк сервис. Купить с кешбеком можно в следующих магазинах: Читай-город, Буквоед, book24. А информация о промокодах доступна рядом с ценой от магазина и постоянно обновляется.
О книге
| Параметр | Значение |
|---|---|
| ISBN | 978-5-222-33550-5 |
| Автор(ы) | Балаян Эдуард Николаевич |
| Вес | 0.6 |
| Возрастное ограничение | 0+ |
| Год издания | 2021 |
| Издатель | Феникс |
| Издательство | Феникс |
| Кол-во страниц | 732 |
| Количество книг | 1 |
| Количество страниц | 731 |
| Обложка | твердый переплёт |
| Оформление обложки | лакировка |
| Переплет | 84х108/32 |
| Раздел | Математика в средней школе |
| Размеры | 84x108/32 |
| Серия | Большая перемена |
| Тип обложки | твердая |
| Формат | 20.7 x 13.3 x 3.5 |
| Язык издания | rus |
Где купить (3)
Цена от 939 руб до 999 руб в 3 магазинах
Похожие предложения вы можете найти в нашей подборке:
Книги: Подготовка в вуз - издательство "Феникс"
Книги: Подготовка в вуз с ценой 751-1126 р.
| Магазин | Цена | Наличие |
|---|---|---|
| book24 5/5 | обновлено 13.04.2026 | |
| Читай-город 5/5 | 939 Промокоды на скидку | обновлено 13.04.2026 |
| Яндекс.Маркет 5/5 | 990 Промокоды на скидку | обновлено 27.06.2024 |
| Буквоед 5/5 | Промокоды на скидку | обновлено 09.02.2026 |
| Яндекс.Маркет 5/5 | Промокоды на скидку | |
| Магазин | Последняя известная цена | Обновлено |
|---|---|---|
| Лабиринт | 1239 | 21.11.2024 |
| МАЙШОП | 753 | 23.06.2024 |
| OZON | 1196 | 24.06.2024 |
| Мегамаркет | 1109 | 21.12.2024 |
Кэшбэк сервис СкидкаГИД
На сегодняшний день товар «Книга: Репетитор по математике для старшеклассников и абитуриентов (Балаян Эдуард Николаевич); Феникс, 2021» можно купить с кешбеком в 4 магазинах: book24, Читай-город, Яндекс.Маркет, Буквоед
Кэшбэк – это возврат части денег, потраченных Вами в интернет-магазинах. Всего на нашем сайте более 500 магазинов, с многими из которых Вы наверняка уже знакомы. У каждого магазина свои условия. Кто-то возвращает процент от покупки, а кто-то фиксированную сумму.
Заказывайте он-лайн и получайте часть денег обратно, подробнее..
Книги: Подготовка в вуз - издательство "Феникс"
Математика, высшая математика - издательство "Феникс" »
Книги: Подготовка в вуз
Категория 751 р. - 1126 р.



