- Популярная математика
- Прикладная математика. Вычислительная математика
- Теория вероятностей и математическая статистика
- Геометрия
Математический анализ в примерах и задачах. Учебное пособие. Часть 2 (Рушайло Маргарита Федоровна, Жукова Галина Севастьяновна); ИНФРА-М, 2022
1639
Издатель: ИНФРА-М
ISBN: 978-5-16-015965-2
EAN: 9785160159652
Книги: Математика, высшая математика
ID: 6531898
Добавлено: 18.09.2020
Описание
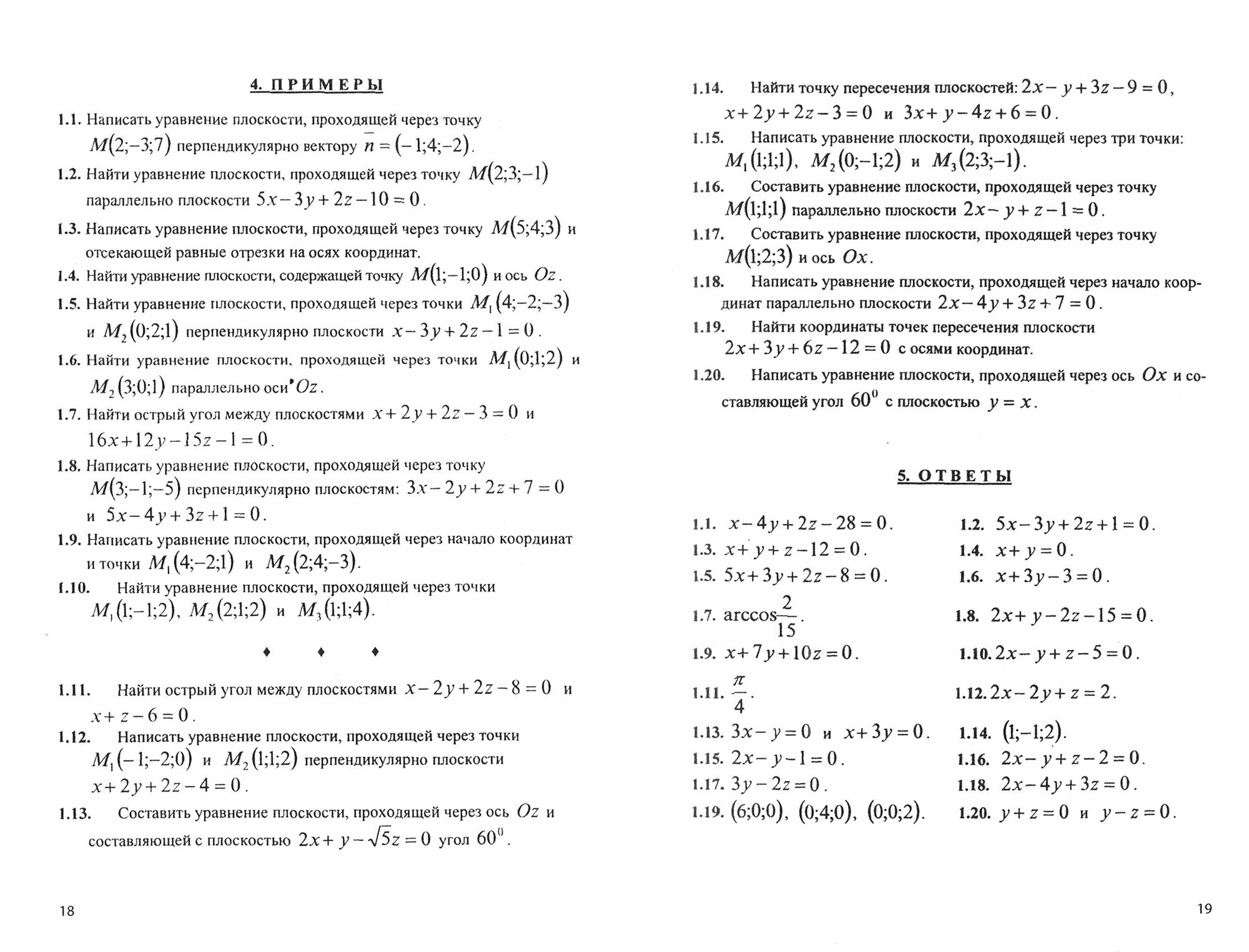
Цель учебного пособия - помочь бакалаврам овладеть основными понятиями и методами исследования, используемыми в математическом анализе. В части 2 предложен цикл практических занятий по следующим разделам: аналитическая геометрия в пространстве; дифференциальное исчисление функции нескольких переменных; локальный, условный, глобальный экстремумы функции нескольких переменных; кратные, криволинейные и поверхностные интегралы; элементы теории поля; числовые, степенные ряды, ряды Фурье; приложения к анализу и решению прикладных задач. Данные разделы изучаются в вузах, как правило, во втором семестре в рамках дисциплины "Математический анализ" или курсов "Высшая математика", "Математика".
Для освоения каждой темы предложен необходимый теоретический и справочный материал, рассмотрено большое число примеров с подробным анализом и решениями, даны варианты самостоятельных работ. Для самостоятельной подготовки и контроля качества полученных знаний по каждому разделу разработаны упражнения и задачи с ответами и указаниями.
Рекомендуется преподавателям, студентам и аспирантам вузов, изучающим высшую математику.
Смотри также о книге.
СкидкаГИД инфо +
Сервис сравнения цен СкидкаГИД предлагает сравнить цены на товар «Книга: Математический анализ в примерах и задачах. Учебное пособие. Часть 2 (Рушайло Маргарита Федоровна, Жукова Галина Севастьяновна); ИНФРА-М, 2022»
По данным нашего сервиса товар предлагался к продаже в 5 магазинах. На сегодняшний день доступен в 1 магазине: ЛитРес. По цене от 1639 р. до 1639 р. В случае, если для вас на данный момент цена слишком высока, вы можете воспользоваться сервисом «Сообщить о снижении цены» - мы оповестим вас как только цена опустится до желаемого значения. Но будьте внимательны, используя сервис «История цены» можно спрогнозировать в какую сторону изменяется цена, возможно сейчас самое время для покупки.
Кроме сервиса сравнеция цен, наш сайт также позволяет экономить еще двумя способами: промокодный сервис (информация о промокодах, а также скидки и акции на товары), а также собственный кэшбэк сервис. Купить с кешбеком можно в следующих магазинах: ЛитРес. А информация о промокодах доступна рядом с ценой от магазина и постоянно обновляется.
О книге
| Параметр | Значение |
|---|---|
| ISBN | 978-5-16-015965-2 |
| Автор(ы) | Рушайло Маргарита Федоровна, Жукова Галина Севастьяновна |
| Вес | 0.62кг |
| Возрастные ограничения | 12 |
| Год издания | 2022 |
| Издатель | ИНФРА-М |
| Кол-во страниц | 544 |
| Количество страниц | 544 |
| Обложка | твердый переплёт |
| Переплет | Твердый переплёт |
| Раздел | Учебники для вузов и колледжей |
| Размеры | 60x90/16 |
| Серия | Высшее образование. Бакалавриат |
| Формат | 144x214мм |
| Язык издания | rus |
Где купить (1)
Цена от 1639 руб до 1639 руб в 1 магазине
Также рекомендуем ознакомиться с ценами на Яндекс.Маркет.
Похожие предложения вы можете найти в нашей подборке:
Книги: Алгебра. Математический анализ - издательство "ИНФРА-М"
Книги: Алгебра. Математический анализ с ценой 1311-1966 р.
| Магазин | Цена | Наличие |
|---|---|---|
| ЛитРес 5/5 | обновлено 30.10.2025 | |
| Avito 5/5 | Avito доставка позволит получить любой товар, не выходя из дома Промокоды на скидку | |
| Магазин | Последняя известная цена | Обновлено |
|---|---|---|
| Лабиринт | 3412 | 04.10.2024 |
| book24 | 3678 | 26.04.2024 |
| Яндекс.Маркет | 2706 | 17.06.2024 |
| МАЙШОП | 2070 | 23.06.2024 |
Кэшбэк сервис СкидкаГИД
На сегодняшний день товар «Книга: Математический анализ в примерах и задачах. Учебное пособие. Часть 2 (Рушайло Маргарита Федоровна, Жукова Галина Севастьяновна); ИНФРА-М, 2022» можно купить с кешбеком в 1 магазине: ЛитРес
Кэшбэк – это возврат части денег, потраченных Вами в интернет-магазинах. Всего на нашем сайте более 500 магазинов, с многими из которых Вы наверняка уже знакомы. У каждого магазина свои условия. Кто-то возвращает процент от покупки, а кто-то фиксированную сумму.
Заказывайте он-лайн и получайте часть денег обратно, подробнее..
Книги: Алгебра. Математический анализ - издательство "ИНФРА-М"
Математика, высшая математика - издательство "ИНФРА-М" »
Книги: Алгебра. Математический анализ
Категория 1311 р. - 1966 р.



