- Религиозная литература для детей
- Животный и растительный мир
- Культура и искусство
- Все обо всем. Универсальные энциклопедии
- Этикет. Внешность.Гигиена. Личная безопасность
- Популярная психология для детей
- Человек. Земля. Вселенная
- Наука. Техника. Транспорт
- Компьютер для детей
- Другое
- Путеводители для детей
- Спорт для детей
- Детская кулинария
- Программирование и электроника для детей
- Экономика и финансы для детей
- Земля. Вселенная
- Популярная анатомия для детей
- Популярная психология. Личная эффективность
- Биографии великих людей
- Занимательное языкознание для детей
- Мифология для детей
- Философия и право для детей
- Знакомство с профессиями
- Земля. Космос
- Занимательная математика
Книга: История (Селиверстова Мария Игоревна); ООО "Издательство "Эксмо", 2023
от 330 до 339
- Издатель: ООО "Издательство "Эксмо" 
- ISBN: 978-5-04-188055-2 
- EAN: 9785041880552 
- Книги: История 
- ID: 13571534 
- Добавлено: 21.09.2023 
Описание
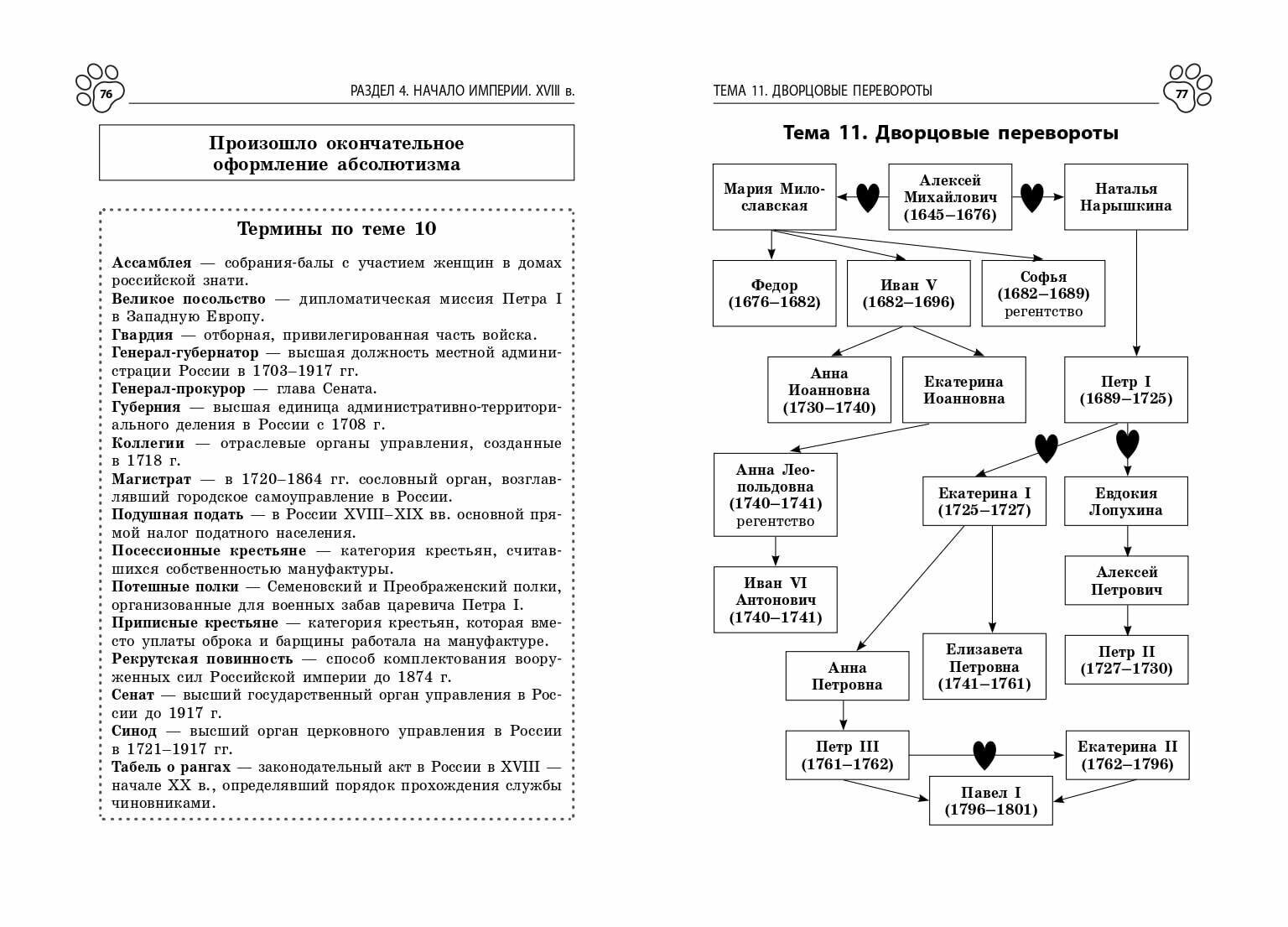
В справочнике кратко и доступно изложены основные сведения по истории России за 6–11 классы. Информация систематизирована и сфокусирована на самых важных разделах курса, знание которых проверяется экзаменом: «Русь в IX–XII вв.», «Раздробленность и формирование единого государства», «Российское царство», «Начало империи. XIII в.», «Российская империя в XIX в.», «Первая половина XX в.», «Послевоенное развитие СССР», «Новая Россия».
В книге вы найдете:
• списки необходимых терминов;
• сведения по всем разделам курса;
• наглядные схемы и таблицы.
Не стоит тратить время на изучение длинных, громоздких текстов, когда до урока или экзамена остались считаные часы! Наглядная и структурированная подача материала — вот что нужно для успешной подготовки к занятиям и ЕГЭ даже в самые сжатые сроки. Используйте это компактное, но содержательное пособие, если хотите быстро получить знания, обобщить изученное в школе, освоить или вспомнить нужную тему.
Автор: М.И. Селиверстова — опытный репетитор, основатель онлайн-школы «История и котики», ведущая популярного блога про историю и подготовку к экзаменам (общее число подписчиков свыше 100 000!).
Смотри также о книге.
СкидкаГИД инфо +
Сервис сравнения цен СкидкаГИД предлагает сравнить цены на товар «Книга: История (Селиверстова Мария Игоревна); ООО "Издательство "Эксмо", 2023»
По данным нашего сервиса товар предлагался к продаже в 6 магазинах. На сегодняшний день доступен в 4 магазинах: Читай-город, Буквоед, book24, Яндекс.Маркет. По цене от 330 р. до 339 р., средняя цена составляет 337 р., а самая низкая цена в магазине Яндекс.Маркет. В случае, если для вас на данный момент цена слишком высока, вы можете воспользоваться сервисом «Сообщить о снижении цены» - мы оповестим вас как только цена опустится до желаемого значения. Но будьте внимательны, используя сервис «История цены» можно спрогнозировать в какую сторону изменяется цена, возможно сейчас самое время для покупки.
Кроме сервиса сравнеция цен, наш сайт также позволяет экономить еще двумя способами: промокодный сервис (информация о промокодах, а также скидки и акции на товары), а также собственный кэшбэк сервис. Купить с кешбеком можно в следующих магазинах: Читай-город, Буквоед, book24, Яндекс.Маркет. А информация о промокодах доступна рядом с ценой от магазина и постоянно обновляется.
О книге
| Параметр | Значение | 
|---|---|
| ISBN | 978-5-04-188055-2 | 
| Автор(ы) | Селиверстова Мария Игоревна | 
| Автор | Селиверстова М.И. | 
| Вес | 0.22кг | 
| Возрастное ограничение | 12+ | 
| Возрастные ограничения | 12 | 
| Год издания | 2023 | 
| Издатель | ООО "Издательство "Эксмо" | 
| Издательство | Эксмо | 
| Класс | 6, 7, 8, 9, 10, 11 | 
| Кол-во страниц | 304 | 
| Количество книг | 1 | 
| Количество страниц | 304 | 
| Переплет | Мягкий переплет | 
| Переплёт | мягкий | 
| Предмет | История | 
| Раздел | История России в старшей школе | 
| Размеры | 12,50 см × 17,70 см | 
| Серия | Наглядно и доступно. Старшая школа | 
| Страниц | 304 | 
| Тематика | История | 
| Тип материала | Справочник | 
| Тип обложки | мягкая | 
| Тираж | 3000 | 
| Формат | 125x177мм | 
| Экзамен | ЕГЭ | 
Где купить (4)
Цена от 330 руб до 339 руб в 4 магазинах
Также рекомендуем ознакомиться с ценами на Яндекс.Маркет.
Похожие предложения вы можете найти в нашей подборке: 
 Книги: Познавательная литература для детей, История - издательство "ООО "Издательство "Эксмо"" 
Книги: Познавательная литература для детей, История с ценой 264-396 р.
| Магазин | Цена | Наличие | 
|---|---|---|
| book24 5/5 | Промокоды на скидку | обновлено 31.10.2025 | 
| Буквоед 5/5 | Промокоды на скидку | обновлено 31.10.2025 | 
| Читай-город 5/5 |  339  400 Промокоды на скидку | обновлено 31.10.2025 | 
| Яндекс.Маркет 5/5 |  330  Промокоды на скидку | обновлено 03.03.2025 | 
| Avito 5/5 | Avito доставка позволит получить любой товар, не выходя из дома Промокоды на скидку | |
| Магазин | Последняя известная цена | Обновлено | 
|---|---|---|
| Лабиринт |  333   |  09.01.2024 | 
| Мегамаркет |  506   |  24.12.2024 | 
Кэшбэк сервис СкидкаГИД
На сегодняшний день товар «Книга: История (Селиверстова Мария Игоревна); ООО "Издательство "Эксмо", 2023» можно купить с кешбеком в 4 магазинах: book24, Буквоед, Читай-город, Яндекс.Маркет
Кэшбэк – это возврат части денег, потраченных Вами в интернет-магазинах. Всего на нашем сайте более 500 магазинов, с многими из которых Вы наверняка уже знакомы. У каждого магазина свои условия. Кто-то возвращает процент от покупки, а кто-то фиксированную сумму.
Заказывайте он-лайн и получайте часть денег обратно, подробнее..
Книги: Познавательная литература для детей, История - издательство "ООО "Издательство "Эксмо""
Категория 264 р. - 396 р.
История - издательство "ООО "Издательство "Эксмо"" »
 
 

 
  
  
  
  
  
  
  
  
  
  
  
  
  
  
  
  
  
  
  
  
  
  
  
  
  
  
  
  
 
